知識社群
登入
中文(台灣)
English(US)
Q&A
線上人數:
194
碩哲高中數學教室
申請加入社群
社群首頁
文件區
(18)
精華區
活動
討論區
(46)
即時塗鴉牆
文件分類
[
總覽
]
高中數學動態課程
解惑區
(7)
高三數學
高中各校段考試題
國中動態課程
國中資優考題欣賞
(3)
段考複習
(2)
國中各校段考題
(3)
常用連結
胡碩哲老師的facebook
社群資訊
訪客: 213115
文章: 18
討論: 46
公告: 2
容量: 剩餘
346.7 MB
(500 MB)
閱讀權限: 開放
分類:
教育學習 / 線上學習
版主: 胡碩哲
副版主: 無
位置:
碩哲高中數學教室
>
討論區
>
討論
這題不會~~
(黃加妤,
sanya1229@yahoo.com.tw
, 2012-09-27 20:45)
1樓
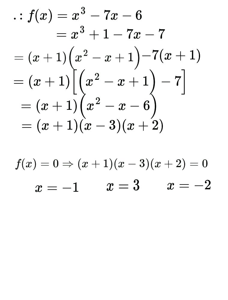
設f(x)=X三次方-7x-6,則(1)試求f(x)的所有整係數一次因式
(2)解方程式f(x)=0
(胡碩哲,
samuel.hwu@gmail.com
, 2012-09-29 01:55)
2樓
先看一下解答囉,若還有不清楚的部份,上課時再來問我囉!
附件
1.
備註_4_01.jpg
(50 KB)
(黃加妤,
sanya1229@yahoo.com.tw
, 2012-09-29 13:13)
3樓
謝謝老師!!
© 2010 FormosaSoft Corp.
http://www.powercam.com.tw
service@powercam.com.tw
All rights reserved.